
近日,永利集团官网入口李静波和金海波教授团队在超表面智能变辐射技术方面取得重要进展。相关研究以“Temperature-adaptive metasurface radiative cooling device with excellent emittance and low solar absorptance for dynamic thermal regulation”为题在国际知名期刊《 Advanced Photonics 》上发表。
在全球能源日益紧张的背景下,对高能效、绿色节能和智能温度管理方案的需求变得愈加迫切。辐射制冷(Radiative cooling)作为一种新兴的绿色无源被动制冷技术,近年来备受关注。该技术能够反射大量太阳辐射热(即材料具有高的太阳反射率),同时通过大气窗口(8 ~ 14μm)使地球表面上的物体向温度为3 K的外太空辐射热量实现降温(即材料具有高发射率),有助于缓解日益严峻的能源危机。然而,已报道的被动辐射制冷材料多为静态发射率材料,意味着在低温环境下,这些材料依然保持强的辐射能力,容易引发“过制冷”现象,从而加剧供暖系统的能耗。
为解决“过制冷”问题,发射率动态可调的辐射制冷材料和器件应用而生。这类材料和器件能够根据环境温度变化调节发射率,实现“高温-制冷”和“低温-保暖”的动态热管理效果。其中,热致变色二氧化钒(VO2)材料结合非对称法布里-珀罗(F-P)谐振腔设计的辐射制冷器件(Temperature-adaptive radiative cooling device,ATRD)能够自发响应环境温度变化而调节发射率,被认为是一种极具前景的动态热管理解决方案。然而,VO2材料对太阳光具有高吸收率,这导致ATRD器件在实现低太阳能吸收率和高热红外发射率之间相互制约,即提高发射率会增加太阳能吸收率,反之亦然,限制了其应用潜力。
针对上述问题,304永利登录入口李静波和金海波教授团队采用VO2超表面策略,设计并制备了一种温度自适应的超表面辐射制冷器件(Temperature-adaptive metasurface radiative cooling device,ATMRD)。通过超表面设计,不仅实现了发射率性能的进一步提升,同时显著降低了太阳吸收率,从而完美解决了低太阳能吸收率与高热红外发射率性能之间的相互制约问题。与传统的ATRD相比,ATMRD的太阳吸收率降低了7.54%,而高温发射率提高了13.3%。设计的ATMRD器件展现出优异的动态辐射热管理能力,器件工作示意图如图1所示。

图1 VO2超表面自适应辐射控温器工作示意图
本研究设计的温度自适应辐射制冷器件由三层结构组成:底部为对可见-红外高反射的金属层、中间为红外高透过的介质层,顶部为红外透过率可调的VO2层(见图2a)。研究者首先使用Tfcale光学软件对器件进行模拟,确定了最佳的结构组合为Ag/HfO2/VO2(命名为ATRD器件)。在此基础上,研究者将顶部的连续VO2膜设计为周期性方形结构(命名为ATMRD器件,见图2c, d),利用Ansys Lumerical FDTD软件建立了结构单元的模型。通过系统模拟,研究评估了方形单元的边长 L 和单元间隙宽度 G 对器件太阳吸收率和发射率的影响。模拟结果表明,当 L 为4 μm, G 为1 μm(L4-G1)时,ATMRD器件能够实现太阳吸收率和发射率的最佳协同优化(见图2e, f)。

图2 (a)、(c) ATRD 和 ATMRD 示意图。(b) 理想温度自适应辐射冷却工作图。(d) 设计的 ATMRD 的表面图案尺寸和横截面图。(e)、(f) ATRD 和 ATMRD 之间模拟的太阳吸收率和热发射率的比较。蓝线代表低温,红线代表高温。
通过模拟确定了器件的最佳结构参数后,研究者采用磁控溅射技术,结合光刻-剥离工艺,成功制备出了符合预期的温度自适应超表面辐射制冷器件。器件的实物图如图3a所示。形貌表征结果显示,制备出的器件各膜层结构致密、厚度均匀,且各层膜之间结合紧密。此外,器件表面微结构图案规整、均一,与模拟设计结果高度一致。

图3 ATMRD 器件的形貌。(a)器件实物照片,(b)截面SEM图和EDS分布图,(c)器件表面形貌SEM 图片
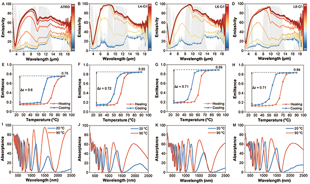
辐射制冷器件的发射率和太阳能吸收率的表征结果(图4)显示,ATRD和ATMRD器件的低温发射率几乎相近,约为0.15,但ATMRD L4-G1、L6-G1和L8-G1器件的高温发射率( ε H)分别达到0.85、0.89、0.84,比ATRD器件( ε H=0.75)分别提高了13.3%、18.7%和12.0%。L4-G1、L6-G1和L8-G1器件的Δ ε 均超过0.7,相较ATRD分别提升了20%、18.3%和18.3%。此外,ATMRD器件的太阳吸收率( α sol)显著低于ATRD器件,其中L4-G1结构的ATMRD器件在室温下的太阳吸收率为27.71%,较ATRD器件降低了7.54%。这些结果证明,采用二氧化钒超结构不仅显著提高了热辐射器件的红外发射率和调制性能,还大大改善了其太阳吸收性能。此外,论文采用FDTD电磁分析进一步揭示了VO2超表面激发多重电磁谐振增强高温电磁吸收的改性机理(图5)。

图4 不同温度下的热发射率光谱、发射率的热滞回线以及低温和高温下的太阳吸收率波谱。 (a)、(e)、(i) ATRD、(b)、(f)、(j) ATMRD L4-G1、(c)、(g)、(k) ATMRD L6-G1 和 (d)、(h)、(l) ATMRD L8-G1。

图5 ATMRD 电磁响应模型和L x -G1 器件的FDTD 模拟计算结果。(a) 结构单元x-z 截面,(b) LC 等效电路示意图,(c) 平面结构ATRD 器件的电磁场分布图,(d)-(h) L4-G1 样品在不同入射波波长下的电磁场分布图,(i) L8-G1 样品在4.5 μm 波长下的电磁场分布图,(j) 和(k) L10-G1 样品在5.5 μm 和11 μm 波长下的电磁场分布图
最后,研究人员对实验制备的ATMRD器件进行了实际应用潜力评估。图6a和6b展示的模拟太阳光反射结果显示,VO2超结构设计有效降低了ATMRD器件的太阳能吸收率。与此同时,图6c和6d展示的红外热像仪结果表明,ATMRD器件在低温环境下表现出优异的保温性能,而在高温环境下则具备良好的散热效果。此外,器件的发射率对探测角度的依赖性较弱,进一步证明了其在不同应用场景中的稳定性能。这些评估结果表明,ATMRD在实际应用中具有广阔的前景。

图6 ATMRD器件性能验证实验。(a)模拟太阳光反射测试示意图,(b)不同器件在光源照射下的温度变化,(c)变温发射率测试示意图,(d)不同温度的辐射热图,(e)L4-G1在不同探测角度的辐射热图。
该成果通过模拟设计并利用磁控溅射沉积技术和微加工技术,成功制备了基于VO2的自适应辐射控温超结构器件(ATMRD)。研究证明了VO2超结构可协同优化基于F-P谐振腔结构的自适应辐射控温器件的热红外发射率和太阳吸收率,阐明了超结构几何参数对器件性能的影响规律,揭示了超结构激发多谐振增强发射率性能的机理。这些成果为VO2超结构功能器件的设计和开发提供了宝贵的理论基础和实践参考。
永利集团官网入口2020级博士生杨俊林为第一作者,李静波教授和金海波教授为本论文的通讯作者。
全文链接:https://www.researching.cn/articles/OJab6cb507c477279e