永利集团官网入口能源催化研究所陈文星课题组与北京化工大学、西湖大学团队合作,近日在非对称配位单原子催化剂研究中取得重要进展。2024年1月,相关研究成果以“A Thermal Replacement Strategy to Regulate the Local Coordination Environment of Single Atom Co−SxN4−x (x=""0,1,2,3)"" Catalysts and Their Application in CO2Electroreduction”为题在国际顶级期刊《Nature Communications》上发表。304永利登录入口陈文星副教授、北京化工大学庄仲滨教授和西湖大学王涛教授为论文共同通讯作者。
单原子催化剂(SAC)作为具有独特配位环境和高原子利用率的新型催化剂,在热催化和电化学催化中都显示出巨大的潜力。要设计高性能的SAC,不仅需要考虑金属单原子的种类,还需要考虑金属位点的局部配位环境,目前,合成具有可调节配位环境的SAC仍具有较高的挑战性。
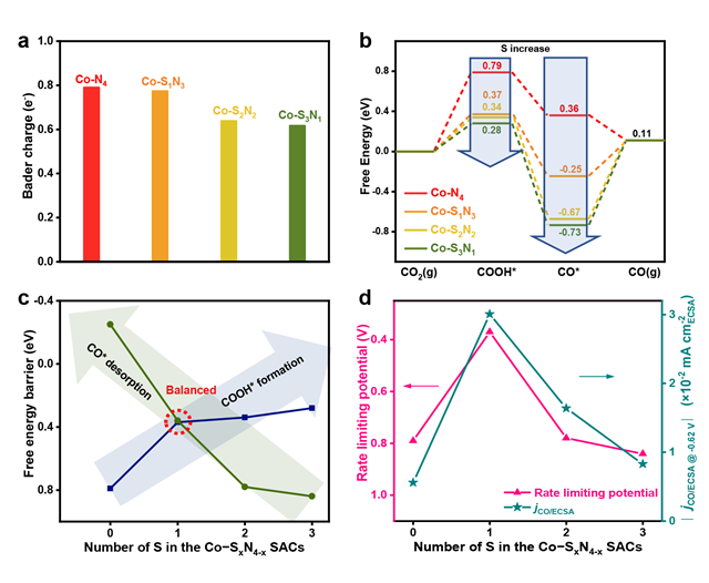
为了解决这个问题,陈文星课题组成功设计了一种热置换策略来微调SAC的局部配位环境,并成功合成了一系列具有可控局域结构的非对称配位单原子催化剂Co−SxN4−x(x=""0,1,2,3)。首先生成对称的Co-N4,然后在高温下用S取代N,形成S取代的Co−SxN4−xSAC,这种逐步置换的过程实现了对SAC局部配位环境的精确控制。基于这些Co−SxN4−x SAC样品,可以探索电催化CO2RR的构效关系,研究发现,非对称Co−S1N3结构的催化剂具有最优的COOH*和CO*吸附,因此具有最高的CO2还原制备CO性能。特别地,在410 mV的低过电位下法拉第效率(FECO)高达98%,TOF达到4564 h−1,超过了多数已报道的单原子催化剂。

图1 Co−SxN4−x SACs的合成策略和形貌表征
作者利用同步辐射硬X射线吸收近边结构(XANES)和傅立叶变换扩展X射线吸收精细结构(FT-EXAFS)研究了所获得的Co−SxN4−x SAC的局部配位环境。在不同S/N配位数的Co−SxN4−x上发现了电子调谐效应,表明其对局部配位环境具有较强的敏感性。另外,通过XPS对SAC的化学环境进行了研究,发现S原子通过这种热置换策略可以成功地结合到碳基底中,有效调控样品的局部电子结构。

图2 Co−SxN4−x SAC的局域结构解析
作者评估了Co-N4、Co-S1N3、Co-S2N2和Co-S3N1 SAC在CO2饱和的0.5M KHCO3的H型池中的CO2RR性能,以研究不同局域配位结构对性能的影响。发现不同硫配位数的单原子Co−SxN4−x (x=""0,1,2,3)呈现火山型CO2RR活性趋势,并且非对称配位Co−S1N3结构更接近火山型曲线的顶部,对CO2RR表现出最高本征活性。

图3 Co−SxN4−x SACs的电催化CO2RR的原位谱学表征

图4 Co-SxN4-x SAC的理论计算能量图
全文链接:
该研究课题得到了国家自然科学基金(22375019)和304永利登录入口科技创新计划创新人才科技资助专项的支持。